Alliansens väljare säger nej till vårdvinster
När det gäller synen på vinster inom vården står borgerliga väljare närmare Vänsterpartiets politiker än Allianspolitiker, visar den senaste västsvenska SOM-undersökningen.
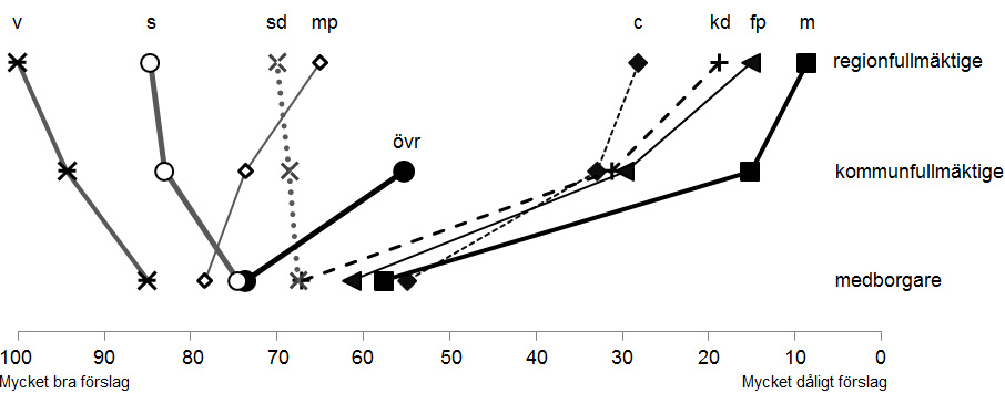
Regionpolitikerna i Västra Götaland står långt ifrån medborgarna gällande synen på vinster i vården. Bland medborgarna är majoriteten negativa till vinster.
– Även bland borgerliga sympatisörer, medan de borgerliga politikerna är klart positiva. Det är ett glapp som är svårt att förstå, säger David Karlsson, docent i offentlig förvaltning vid Göteborgs universitet, i ett pressmeddelande.
Påståendet som deltagarna i undersökningen tagit ställning till är ”Förhindra företag med vinstsyfte att driva sjukhus”. Här tycker de flesta medborgare, oavsett vad man röstar på, att det är ett bra eller ganska bra förslag. Men politikernas åsikt skiljer sig från väljarnas. V- och S-politiker är mer positiva till att förbjuda vinst än partiernas väljare, medan MP och Allianspartierna är mer negativa till att förbjuda vinst än sina väljare. SD är det parti som står närmast sina väljare i frågan. Faktum är att borgerliga väljare står närmare de vänsterpartistiska regionpolitikerna än ”sina egna” politiker i frågan. David Karlsson menar att det är problematiskt.
– I en representativ demokrati ska väljarna kunna peka ut färdriktningen för politiken. Om åsikterna går åt olika håll så riskerar demokratins mekanismer att inte fungera. Det blir hack i maskineriet, säger Karlsson.

